Официальное опубликование правовых актов
ОФИЦИАЛЬНОЕ ОПУБЛИКОВАНИЕ
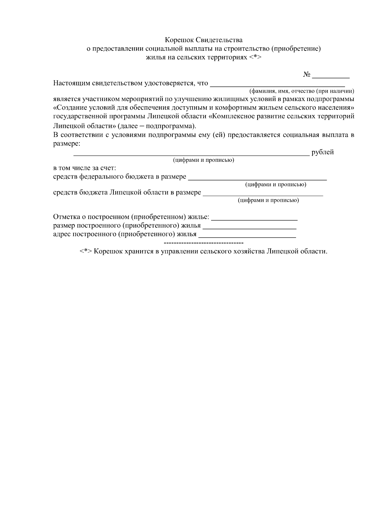
Постановление Правительства Липецкой области от 25.12.2023 № 760
"О Порядках выдачи Свидетельств, предоставления и использования социальных выплат на приобретение или строительство жилья"
Номер опубликования: 4800202312280024
Дата опубликования: 28.12.2023
Страница №23 из 53:
Увеличить