Официальное опубликование правовых актов
ОФИЦИАЛЬНОЕ ОПУБЛИКОВАНИЕ
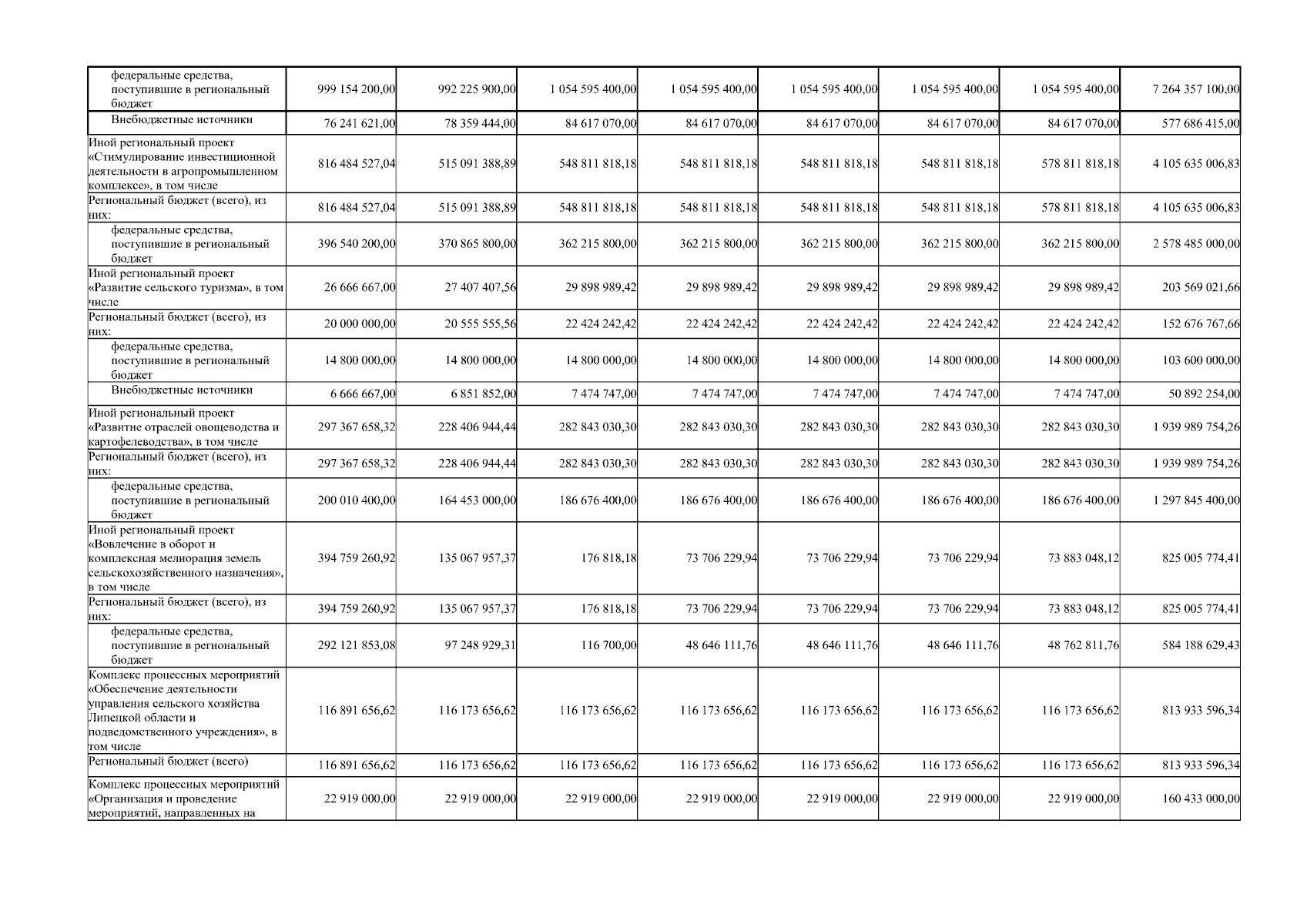
Постановление Правительства Липецкой области от 08.12.2023 № 701
"Об утверждении государственной программы Липецкой области "Развитие сельского хозяйства и регулирование рынков сельскохозяйственной продукции, сырья и продовольствия Липецкой области"
Номер опубликования: 4800202312150010
Дата опубликования: 15.12.2023
Страница №28 из 202:
Увеличить