Официальное опубликование правовых актов
ОФИЦИАЛЬНОЕ ОПУБЛИКОВАНИЕ
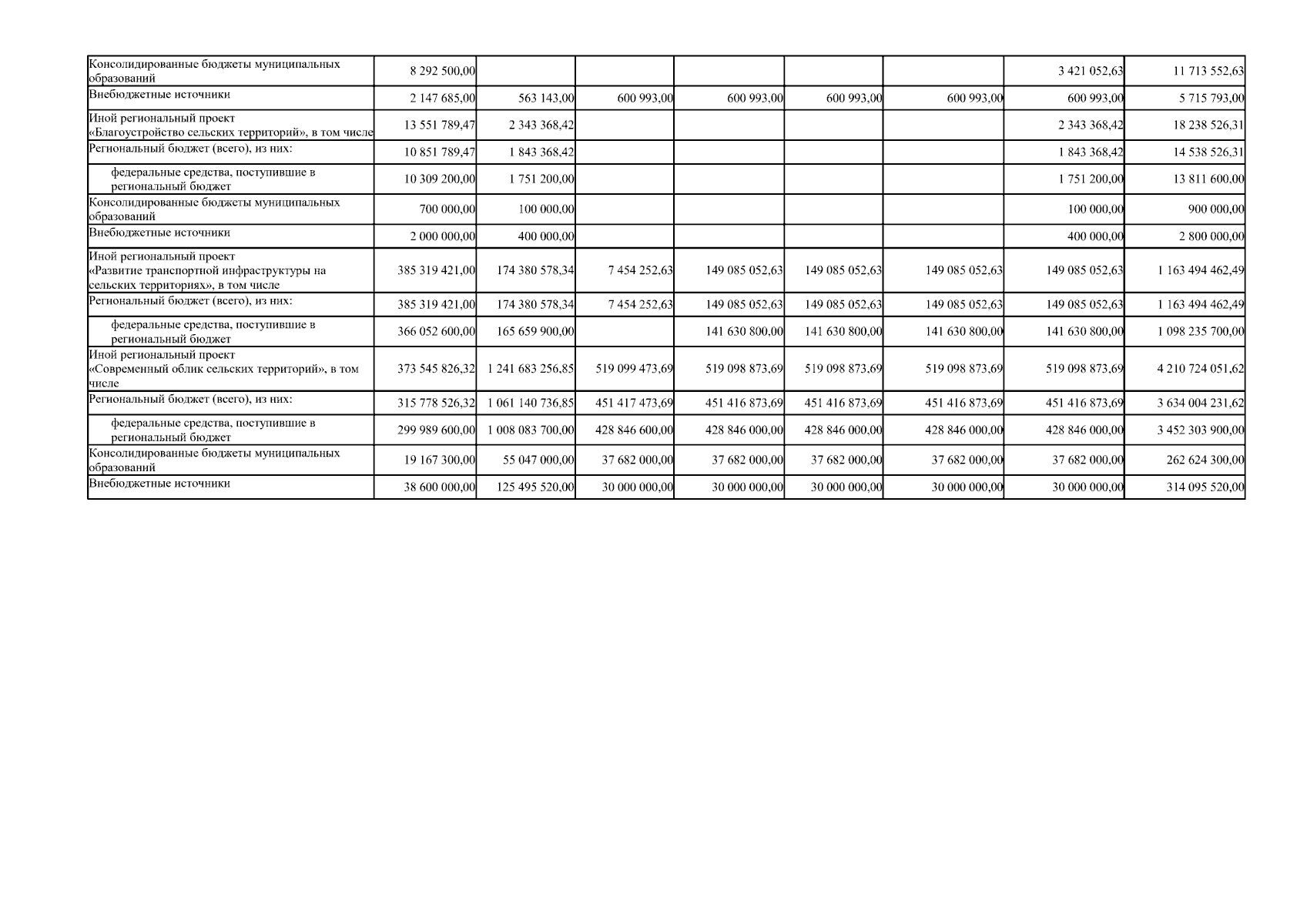
Постановление Правительства Липецкой области от 04.12.2023 № 666
"Об утверждении комплексной государственной программы Липецкой области "Комплексное развитие сельских территорий Липецкой области"
Номер опубликования: 4800202312060001
Дата опубликования: 06.12.2023
Страница №17 из 121:
Увеличить