Официальное опубликование правовых актов
ОФИЦИАЛЬНОЕ ОПУБЛИКОВАНИЕ
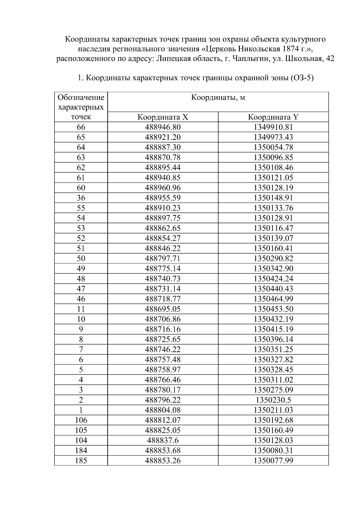
Постановление Правительства Липецкой области от 24.11.2023 № 645
"Об установлении границ зон охраны объекта культурного наследия регионального значения "Церковь Никольская 1874 г.", расположенного по адресу: Липецкая область, г. Чаплыгин, ул. Школьная, 42, и утверждении требований к градостроительным регламентам в границах территорий данных зон"
Номер опубликования: 4800202312010015
Дата опубликования: 01.12.2023
Страница №12 из 27:
Увеличить