Официальное опубликование правовых актов
ОФИЦИАЛЬНОЕ ОПУБЛИКОВАНИЕ
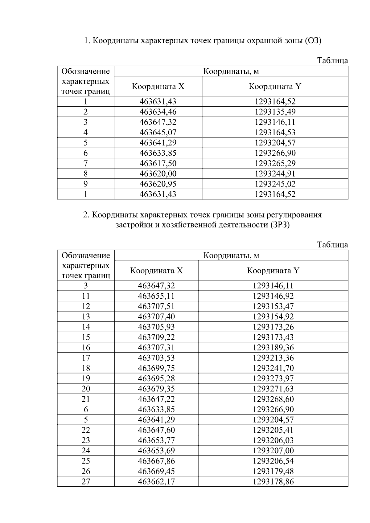
Постановление Правительства Липецкой области от 09.11.2023 № 601
"Об установлении границ зон охраны объекта культурного наследия регионального значения "Дом, в котором с 1951 г. по 1973 г. жил историк, археолог, краевед П. Н. Черменский (1884-1973 гг.)", расположенного по адресу: Липецкая область, г. Лебедянь, ул. Победы, 18, и утверждении требований к градостроительным регламентам в границах территорий данных зон"
Номер опубликования: 4800202311140015
Дата опубликования: 14.11.2023
Страница №7 из 12:
Увеличить