Официальное опубликование правовых актов
ОФИЦИАЛЬНОЕ ОПУБЛИКОВАНИЕ
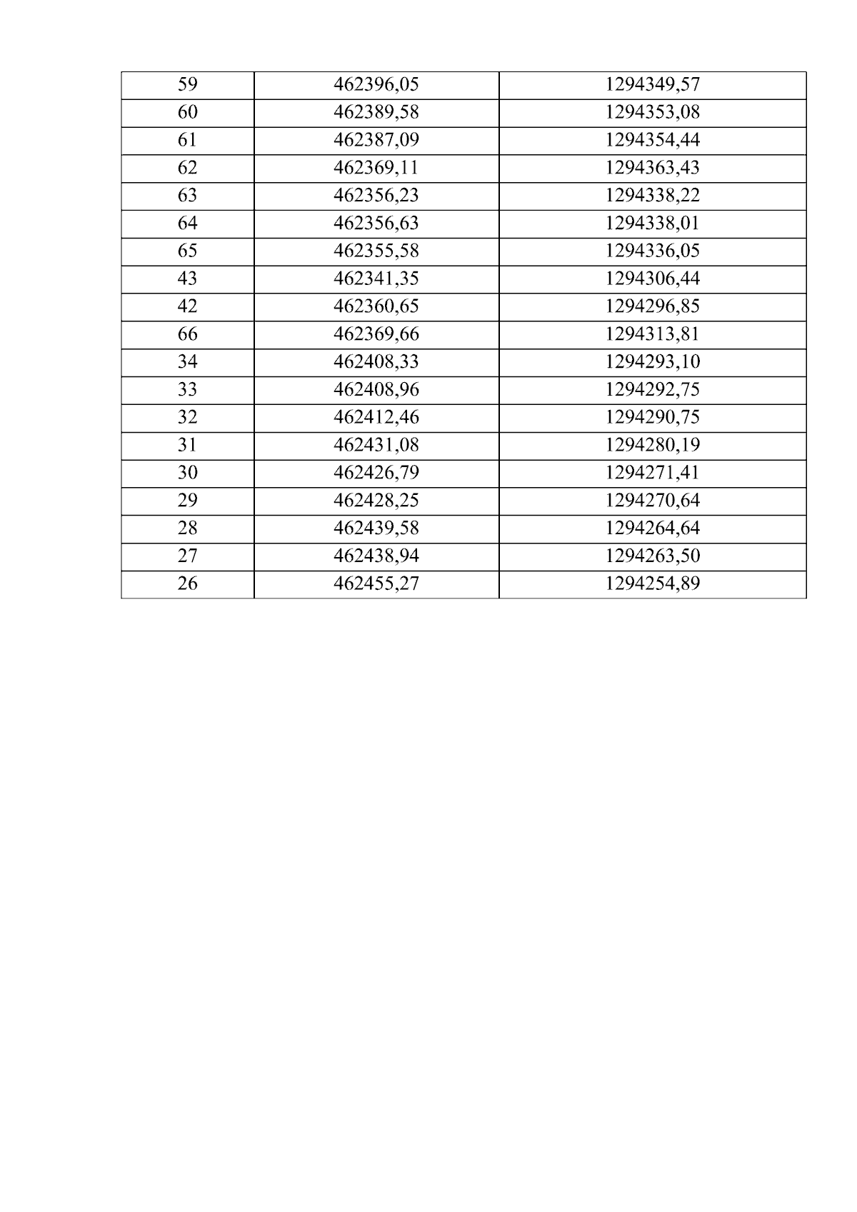
Постановление Правительства Липецкой области от 09.11.2023 № 599
"Об установлении границ зон охраны объекта культурного наследия регионального значения "Дом, в котором летом 1938 г. жил писатель М. А. Булгаков (1891-1940), работавший в это время над романом "Мастер и Маргарита", расположенного по адресу: Липецкая область, г. Лебедянь, ул. Ситникова, 24, и утверждении требований к градостроительным регламентам в границах территорий данных зон"
Номер опубликования: 4800202311140005
Дата опубликования: 14.11.2023
Страница №11 из 16:
Увеличить