Официальное опубликование правовых актов
ОФИЦИАЛЬНОЕ ОПУБЛИКОВАНИЕ
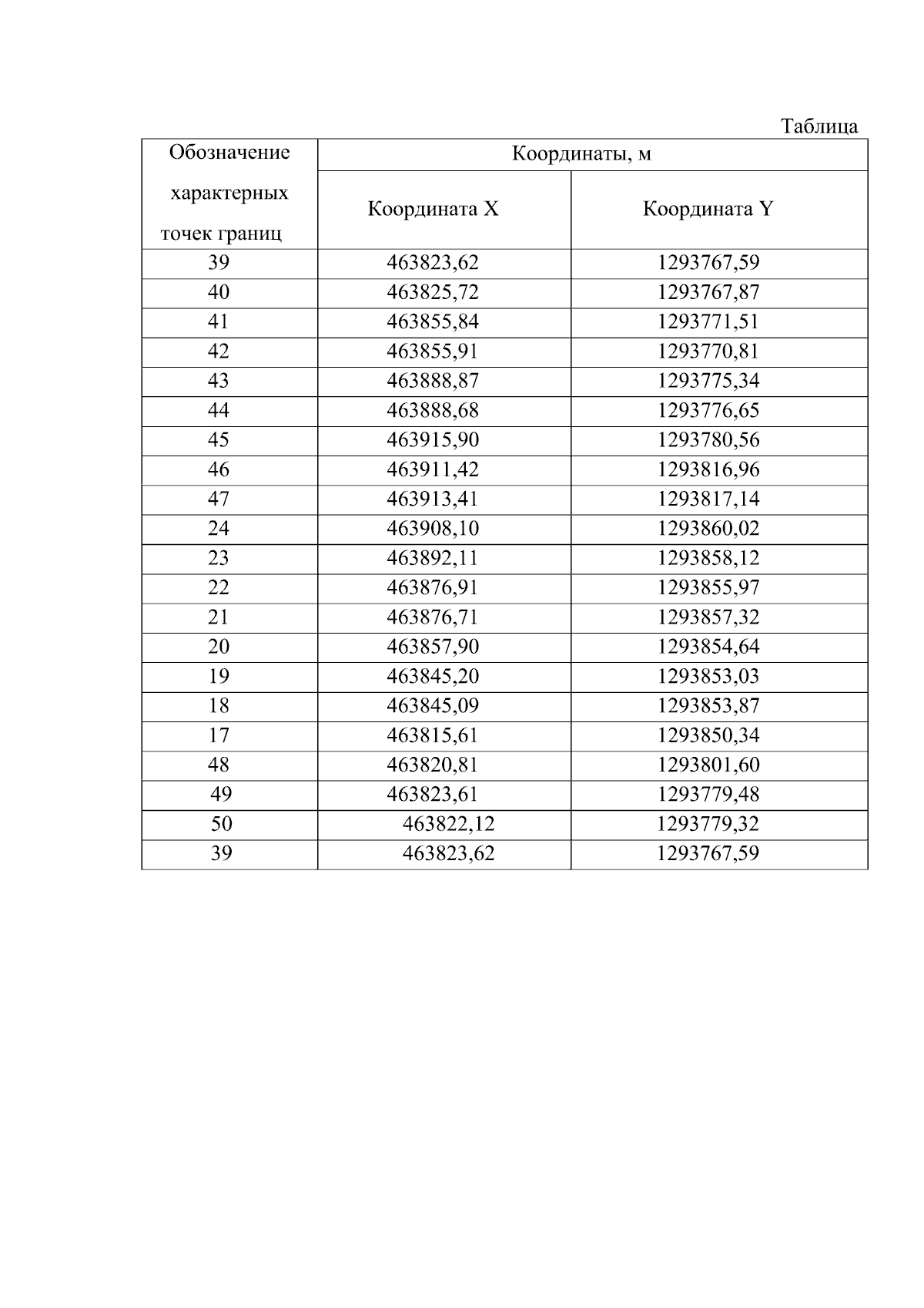
Постановление Правительства Липецкой области от 07.11.2023 № 593
"Об установлении границ зон охраны объекта культурного наследия регионального значения "Жилые дома" XVIII в., расположенного по адресу: Липецкая область, г. Лебедянь, ул. Ленина, 33, 35, и утверждении требований к градостроительным регламентам в границах территорий данных зон"
Номер опубликования: 4800202311130003
Дата опубликования: 13.11.2023
Страница №9 из 14:
Увеличить