Официальное опубликование правовых актов
ОФИЦИАЛЬНОЕ ОПУБЛИКОВАНИЕ
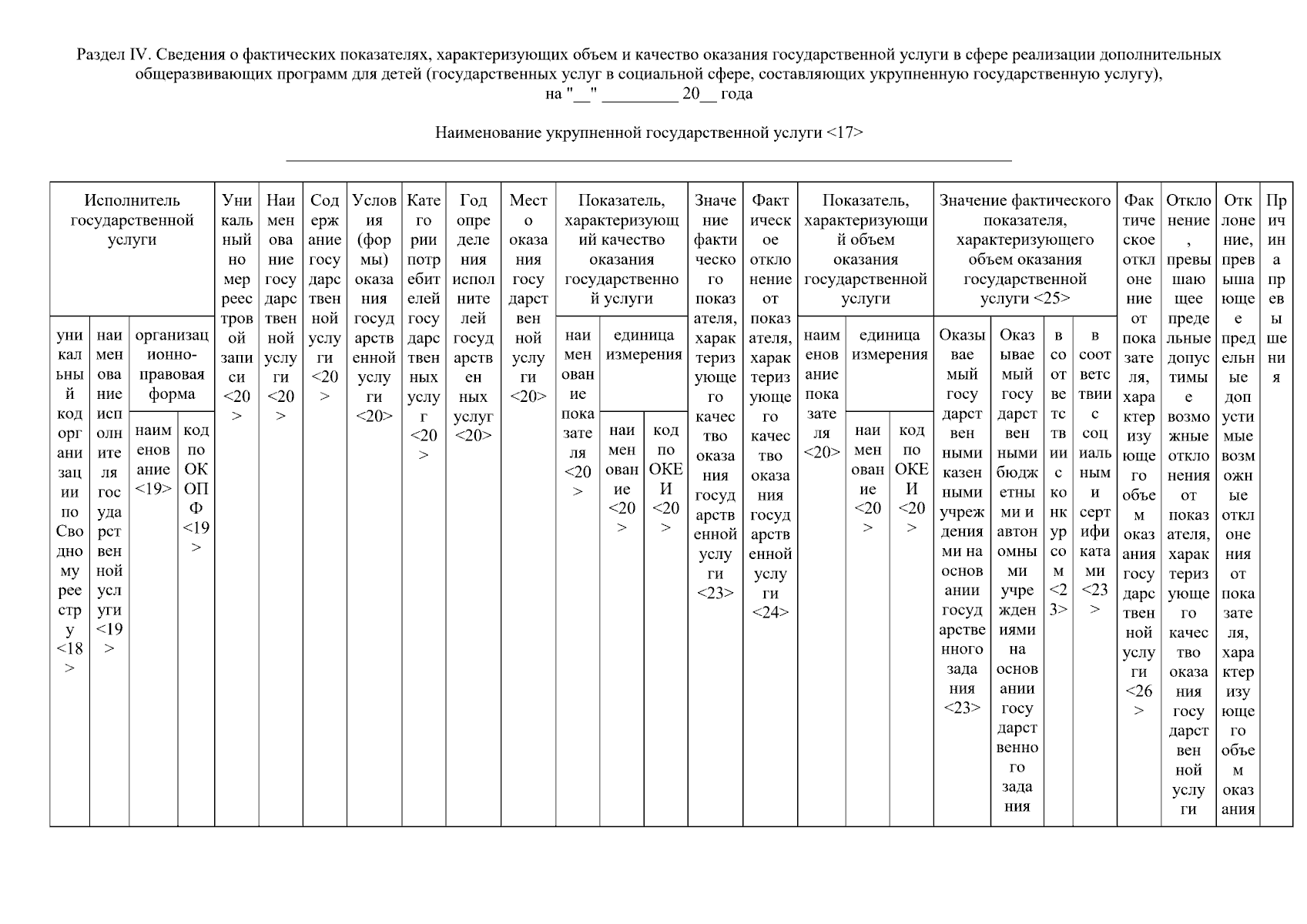
Постановление Правительства Липецкой области от 13.09.2023 № 506
"Об утверждении Порядка формирования государственного социального заказа на оказание государственных услуг в сфере реализации дополнительных общеразвивающих программ для детей, отнесенных к полномочиям исполнительных органов государственной власти Липецкой области"
Номер опубликования: 4800202309200002
Дата опубликования: 20.09.2023
Страница №34 из 38:
Увеличить