Официальное опубликование правовых актов
ОФИЦИАЛЬНОЕ ОПУБЛИКОВАНИЕ
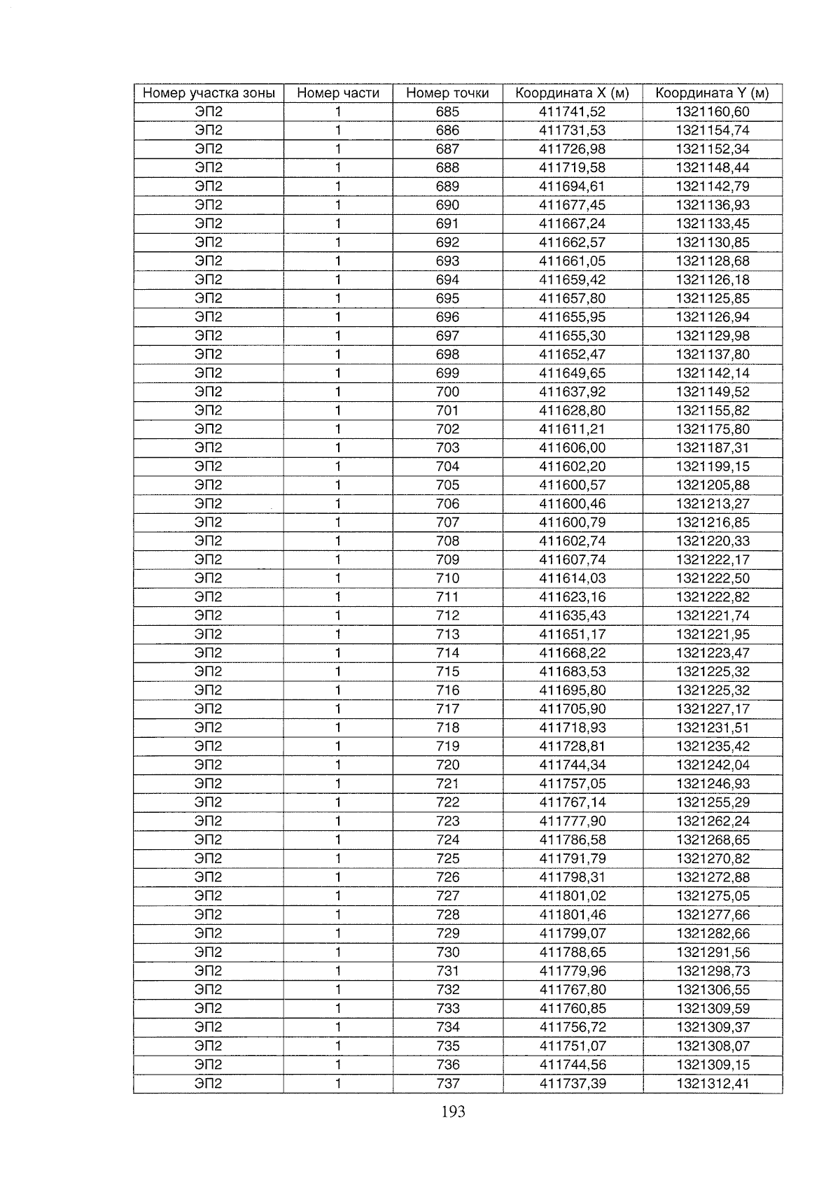
Постановление Правительства Липецкой области от 17.08.2023 № 455
"О государственном природном зоологическом заказнике регионального значения "Липецкий"
Номер опубликования: 4800202308210015
Дата опубликования: 21.08.2023
Страница №422 из 828:
Увеличить