Официальное опубликование правовых актов
ОФИЦИАЛЬНОЕ ОПУБЛИКОВАНИЕ
Постановление Правительства Липецкой области от 17.08.2023 № 453
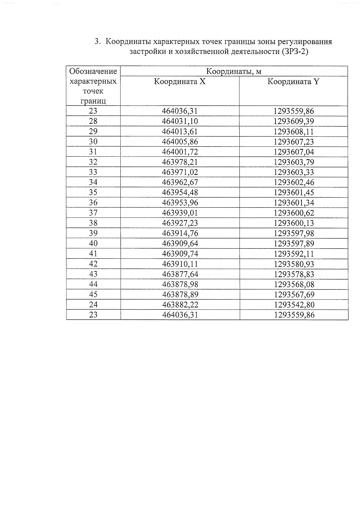
"Об установлении границ зон охраны объекта культурного наследия регионального значения "Дом изобретателя Стрельникова", XIX в., расположенного по адресу: Липецкая область, г. Лебедянь, ул. Советская, 48, и утверждении требований к градостроительным регламентам в границах территорий данных зон"
Номер опубликования: 4800202308210003
Дата опубликования: 21.08.2023
Страница №9 из 14:
Увеличить