Официальное опубликование правовых актов
ОФИЦИАЛЬНОЕ ОПУБЛИКОВАНИЕ
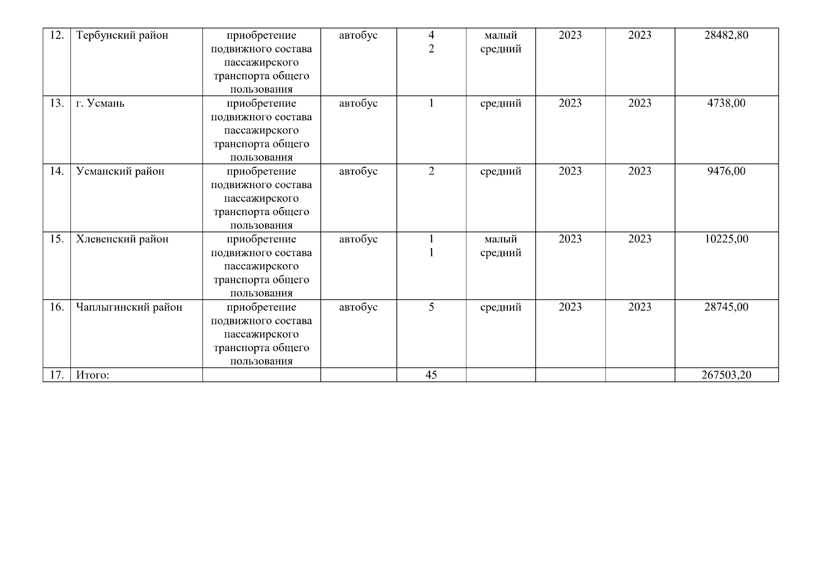
Постановление Правительства Липецкой области от 15.08.2023 № 434
"Об утверждении детализированного перечня мероприятий, реализуемых в рамках специальных казначейских кредитов"
Номер опубликования: 4800202308180012
Дата опубликования: 18.08.2023
Страница №4 из 5:
Увеличить