Официальное опубликование правовых актов
ОФИЦИАЛЬНОЕ ОПУБЛИКОВАНИЕ
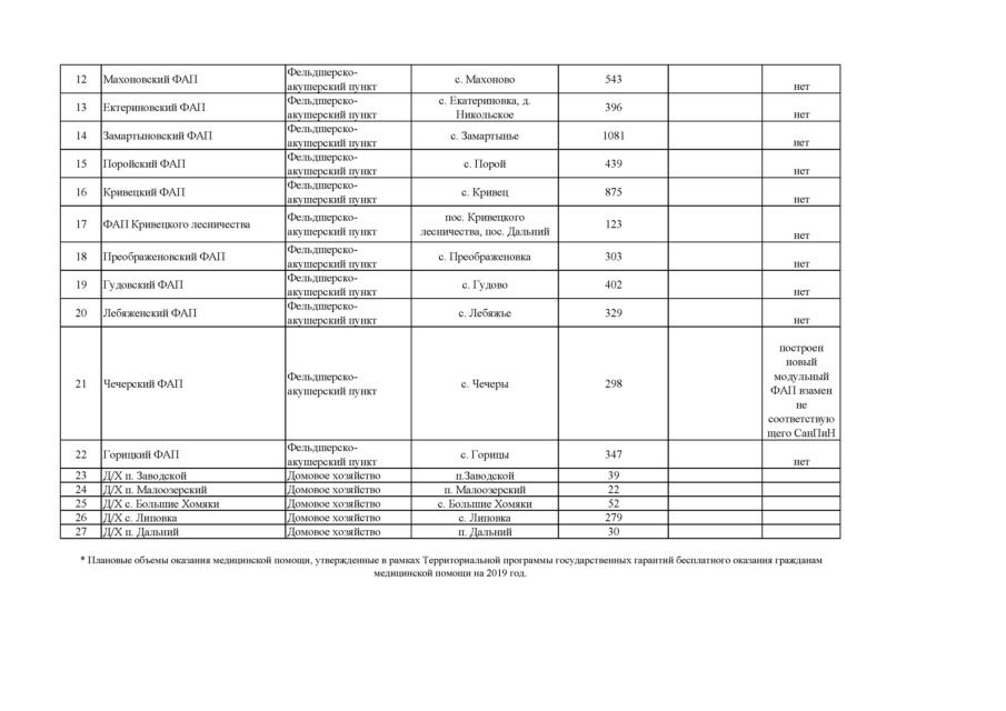
Постановление Правительства Липецкой области от 12.05.2023 № 237
"О внесении изменений в постановление администрации Липецкой области от 30 апреля 2013 года № 213 "Об утверждении государственной программы "Развитие здравоохранения Липецкой области"
Номер опубликования: 4800202305170001
Дата опубликования: 17.05.2023
Страница №179 из 690:
Увеличить