Официальное опубликование правовых актов
ОФИЦИАЛЬНОЕ ОПУБЛИКОВАНИЕ
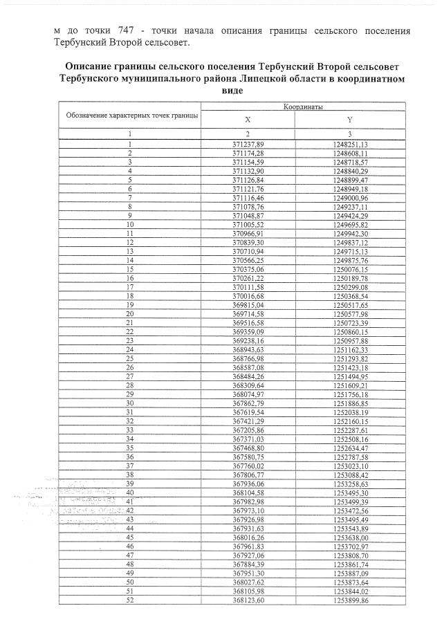
Закон Липецкой области от 02.05.2023 № 328-ОЗ
"О внесении изменений в Закон Липецкой области "Об установлении границ муниципальных образований Липецкой области"
Номер опубликования: 4800202305100001
Дата опубликования: 10.05.2023
Страница №2633 из 3237:
Увеличить