Закон Липецкой области от 10.04.2023 № 313-ОЗ
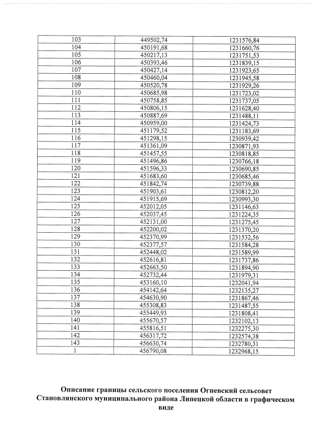
"О внесении изменений в Закон Липецкой области "Об установлении границ муниципальных образований Липецкой области"
"О внесении изменений в Закон Липецкой области "Об установлении границ муниципальных образований Липецкой области"
Номер опубликования: 4800202304130010
Дата опубликования:
13.04.2023
