Официальное опубликование правовых актов
ОФИЦИАЛЬНОЕ ОПУБЛИКОВАНИЕ
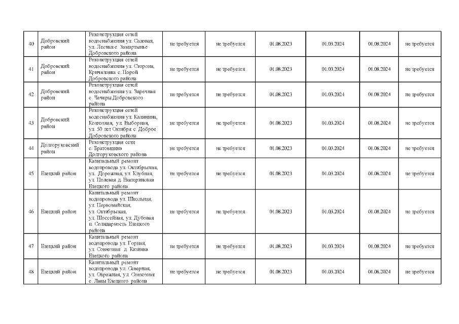
Постановление Правительства Липецкой области от 02.02.2023 № 62
"Об утверждении областной программы "Модернизация систем коммунальной инфраструктуры Липецкой области на 2023 – 2027 годы"
Номер опубликования: 4800202302080003
Дата опубликования: 08.02.2023
Страница №81 из 87:
Увеличить