Официальное опубликование правовых актов
ОФИЦИАЛЬНОЕ ОПУБЛИКОВАНИЕ
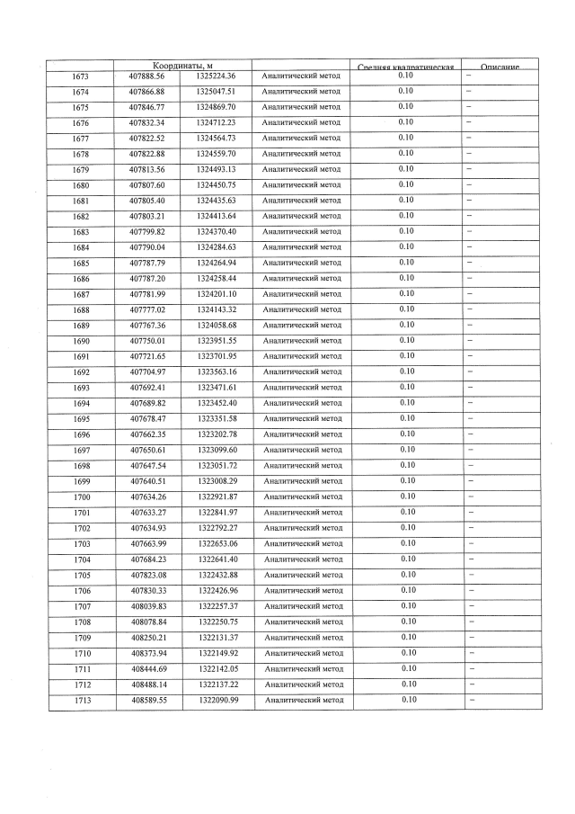
Постановление Правительства Липецкой области от 30.12.2022 № 370
"Об утверждении Генерального плана городского округа город Липецк на период до 2042 года"
Номер опубликования: 4800202301060016
Дата опубликования: 06.01.2023
Страница №141 из 212:
Увеличить