Официальное опубликование правовых актов
ОФИЦИАЛЬНОЕ ОПУБЛИКОВАНИЕ
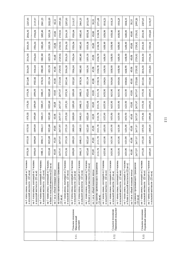
Постановление Липецкого областного Совета депутатов от 22.12.2022 № 750-пс
"О внесении изменений в постановление Липецкого областного Совета депутатов "Об установлении размеров региональных стандартов стоимости жилищно-коммунальных услуг в Липецкой области на 2022 год"
Номер опубликования: 4800202212280007
Дата опубликования: 28.12.2022
Страница №111 из 264:
Увеличить