Официальное опубликование правовых актов
ОФИЦИАЛЬНОЕ ОПУБЛИКОВАНИЕ
Постановление Правительства Липецкой области от 27.09.2022 № 171
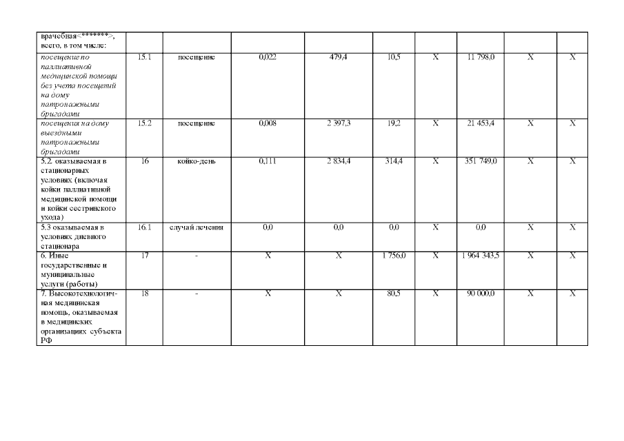
"О внесении изменений в постановление администрации Липецкой области от 30 декабря 2021 года № 622 "Об утверждении Программы государственных гарантий бесплатного оказания гражданам на территории Липецкой области медицинской помощи на 2022 год и на плановый период 2023 и 2024 годов"
Номер опубликования: 4800202210050008
Дата опубликования: 05.10.2022
Страница №61 из 109:
Увеличить