Официальное опубликование правовых актов
ОФИЦИАЛЬНОЕ ОПУБЛИКОВАНИЕ
Постановление Правительства Липецкой области от 24.08.2022 № 110
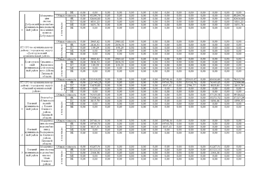
"О внесении изменений в постановление администрации Липецкой области от 13 декабря 2013 года № 588 "Об утверждении государственной программы Липецкой области "Обеспечение населения Липецкой области качественным жильем, социальной инфраструктурой и услугами ЖКХ"
Номер опубликования: 4800202208310005
Дата опубликования: 31.08.2022
Страница №42 из 78:
Увеличить