Официальное опубликование правовых актов
ОФИЦИАЛЬНОЕ ОПУБЛИКОВАНИЕ
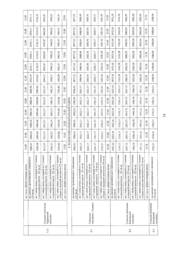
Постановление Липецкого областного Совета депутатов от 28.07.2022 № 447-пс
"О внесении изменений в постановление Липецкого областного Совета депутатов "Об установлении размеров региональных стандартов стоимости жилищно-коммунальных услуг в Липецкой области на 2022 год"
Номер опубликования: 4800202208050011
Дата опубликования: 05.08.2022
Страница №34 из 262:
Увеличить