Официальное опубликование правовых актов
ОФИЦИАЛЬНОЕ ОПУБЛИКОВАНИЕ
Постановление Правительства Липецкой области от 01.07.2022 № 29
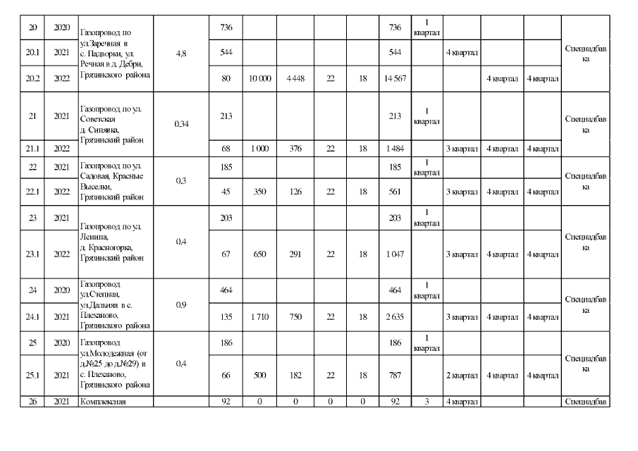
"О внесении изменений в постановление администрации Липецкой области от 13 ноября 2017 года № 519 "Об утверждении региональной программы "Газификация жилищно-коммунального хозяйства, промышленных и иных организаций Липецкой области на 2018-2022 годы"
Номер опубликования: 4800202207080001
Дата опубликования: 08.07.2022
Страница №461 из 482:
Увеличить