Официальное опубликование правовых актов
ОФИЦИАЛЬНОЕ ОПУБЛИКОВАНИЕ
Постановление администрации Липецкой области от 22.04.2022 № 191
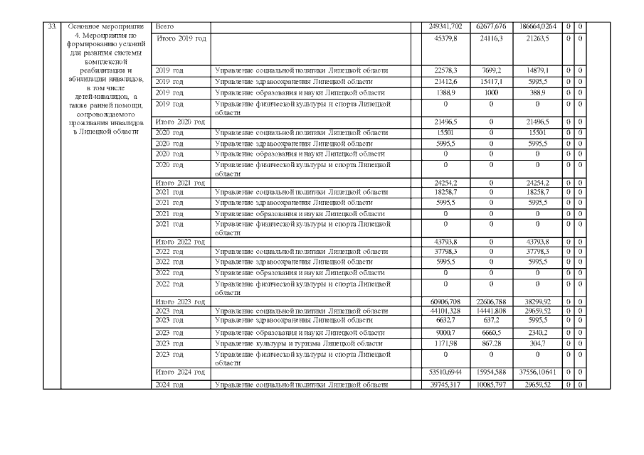
"О внесении изменений в постановление администрации Липецкой области от 18 декабря 2013 года № 598 "Об утверждении государственной программы Липецкой области "Социальная поддержка граждан, реализация семейно-демографической политики Липецкой области"
Номер опубликования: 4800202204250011
Дата опубликования: 25.04.2022
Страница №43 из 46:
Увеличить