Официальное опубликование правовых актов
ОФИЦИАЛЬНОЕ ОПУБЛИКОВАНИЕ
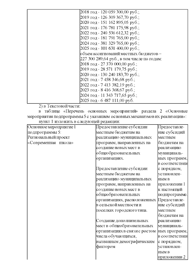
Постановление администрации Липецкой области от 23.03.2022 № 135
"О внесении изменений в постановление администрации Липецкой области от 29 ноября 2013 года № 534 "Об утверждении государственной программы Липецкой области "Развитие образования Липецкой области"
Номер опубликования: 4800202203250002
Дата опубликования: 25.03.2022
Страница №59 из 88:
Увеличить