Официальное опубликование правовых актов
ОФИЦИАЛЬНОЕ ОПУБЛИКОВАНИЕ
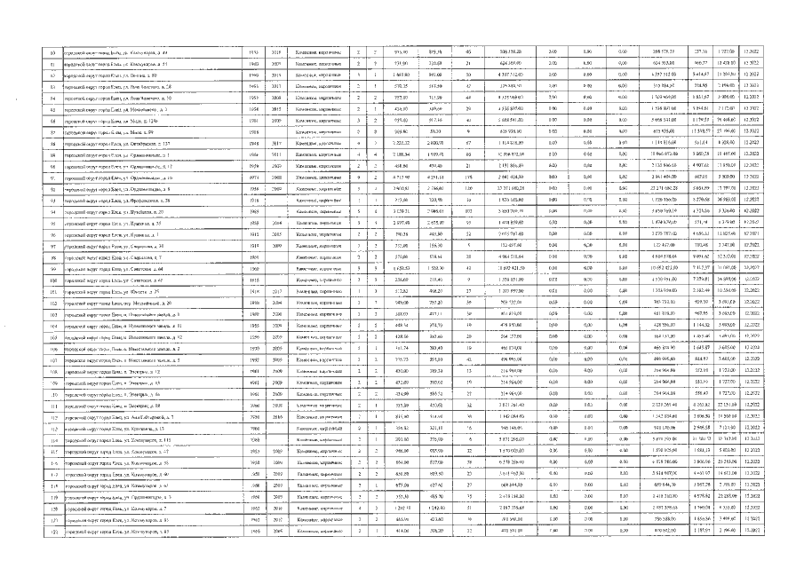
Постановление администрации Липецкой области от 30.12.2021 № 620
"О внесении изменения в постановление администрации Липецкой области от 28 февраля 2020 года № 91 "Об утверждении краткосрочного плана реализации областной программы капитального ремонта общего имущества в многоквартирных домах на 2020 – 2022 годы"
Номер опубликования: 4800202201030004
Дата опубликования: 03.01.2022
Страница №34 из 89:
Увеличить