Официальное опубликование правовых актов
ОФИЦИАЛЬНОЕ ОПУБЛИКОВАНИЕ
Постановление администрации Липецкой области от 28.12.2021 № 613
"О внесении изменений в постановление администрации Липецкой области от 29 ноября 2013 года № 534 "Об утверждении государственной программы Липецкой области "Развитие образования Липецкой области"
Номер опубликования: 4800202112290018
Дата опубликования: 29.12.2021
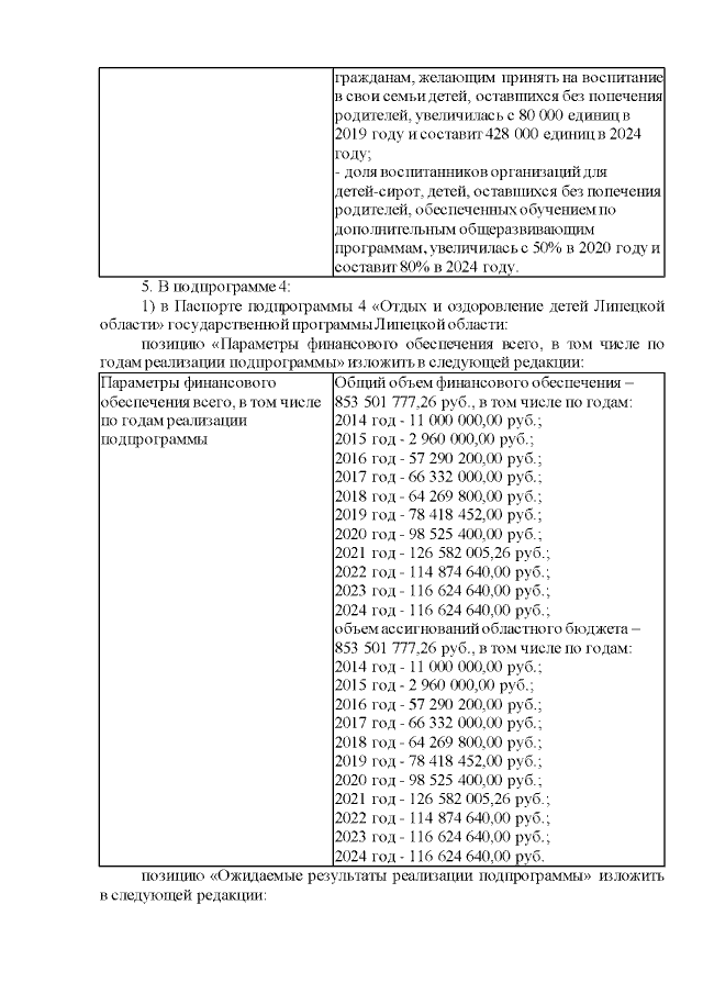
Страница №28 из 61:
Увеличить