Официальное опубликование правовых актов
ОФИЦИАЛЬНОЕ ОПУБЛИКОВАНИЕ
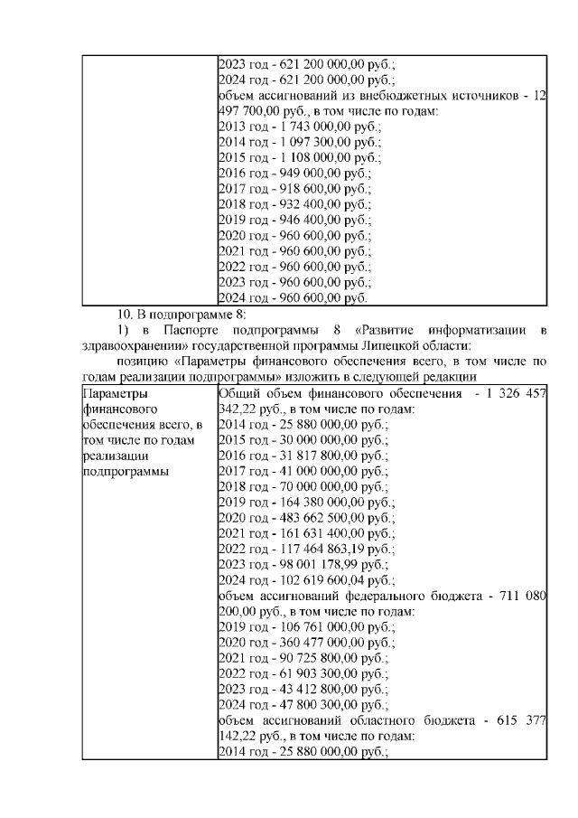
Постановление администрации Липецкой области от 20.12.2021 № 575
"О внесении изменений в постановление администрации Липецкой области от 30 апреля 2013 года № 213 "Об утверждении государственной программы "Развитие здравоохранения Липецкой области"
Номер опубликования: 4800202112270014
Дата опубликования: 27.12.2021
Страница №44 из 789:
Увеличить