Официальное опубликование правовых актов
ОФИЦИАЛЬНОЕ ОПУБЛИКОВАНИЕ
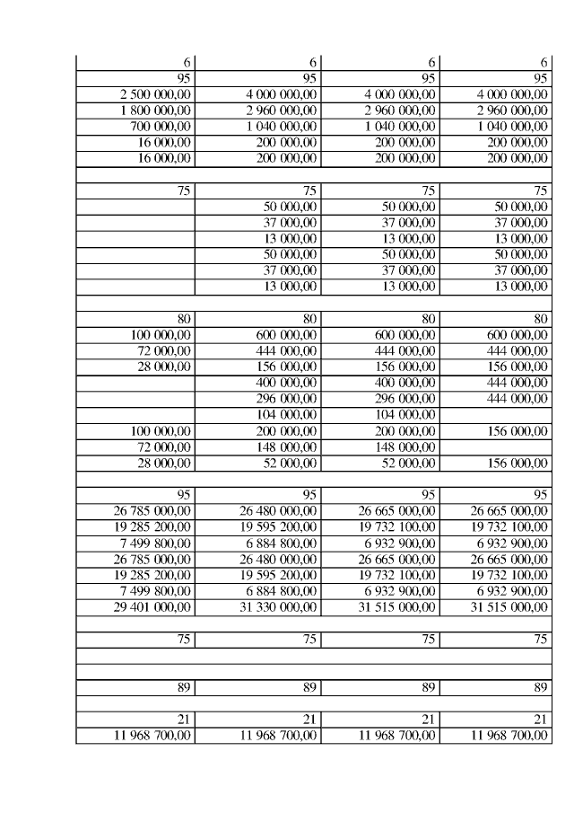
Постановление администрации Липецкой области от 22.12.2021 № 580
"О внесении изменений в постановление администрации Липецкой области от 16 октября 2013 года № 465 "Об утверждении государственной программы Липецкой области "Развитие рынка труда и содействие занятости населения в Липецкой области"
Номер опубликования: 4800202112240009
Дата опубликования: 24.12.2021
Страница №24 из 38:
Увеличить