Официальное опубликование правовых актов
ОФИЦИАЛЬНОЕ ОПУБЛИКОВАНИЕ
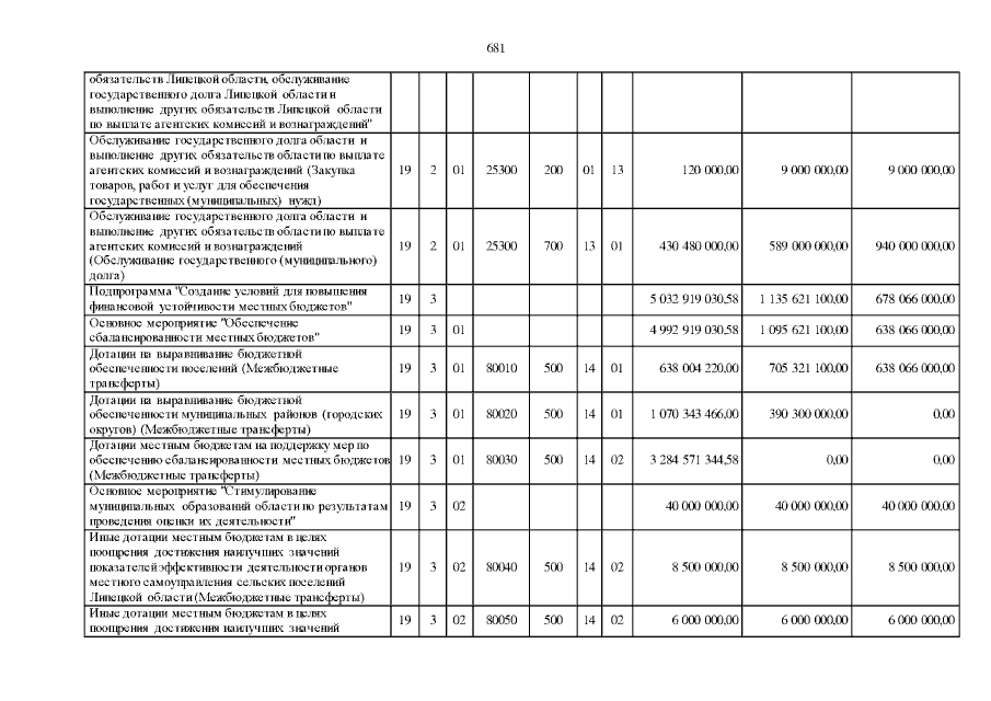
Закон Липецкой области от 11.11.2021 № 3-ОЗ
"О внесении изменений в Закон Липецкой области "Об областном бюджете на 2021 год и на плановый период 2022-2023 годов"
Номер опубликования: 4800202111120008
Дата опубликования: 12.11.2021
Страница №681 из 840:
Увеличить