Официальное опубликование правовых актов
ОФИЦИАЛЬНОЕ ОПУБЛИКОВАНИЕ
Постановление администрации Липецкой области от 02.06.2021 № 206
"О внесении изменений в постановление администрации Липецкой области от 28 октября 2013 года № 485 "Об утверждении государственной программы Липецкой области "Развитие сельского хозяйства и регулирование рынков сельскохозяйственной продукции, сырья и продовольствия Липецкой области"
Номер опубликования: 4800202106040002
Дата опубликования: 04.06.2021
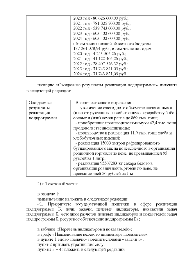
Страница №11 из 35:
Увеличить