Официальное опубликование правовых актов
ОФИЦИАЛЬНОЕ ОПУБЛИКОВАНИЕ
Постановление администрации Липецкой области от 29.04.2021 № 169
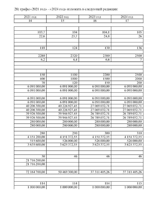
"О внесении изменений в постановление администрации Липецкой области от 7 ноября 2013 года № 500 "Об утверждении государственной программы Липецкой области "Модернизация и инновационное развитие экономики Липецкой области"
Номер опубликования: 4800202104300003
Дата опубликования: 30.04.2021
Страница №34 из 38:
Увеличить