Официальное опубликование правовых актов
ОФИЦИАЛЬНОЕ ОПУБЛИКОВАНИЕ
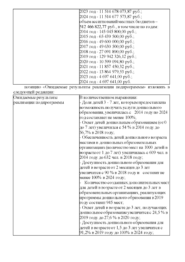
Постановление администрации Липецкой области от 08.04.2021 № 131
"О внесении изменений в постановление администрации Липецкой области от 29 ноября 2013 года № 534 "Об утверждении государственной программы Липецкой области "Развитие образования Липецкой области"
Номер опубликования: 4800202104130002
Дата опубликования: 13.04.2021
Страница №14 из 66:
Увеличить