Официальное опубликование правовых актов
ОФИЦИАЛЬНОЕ ОПУБЛИКОВАНИЕ
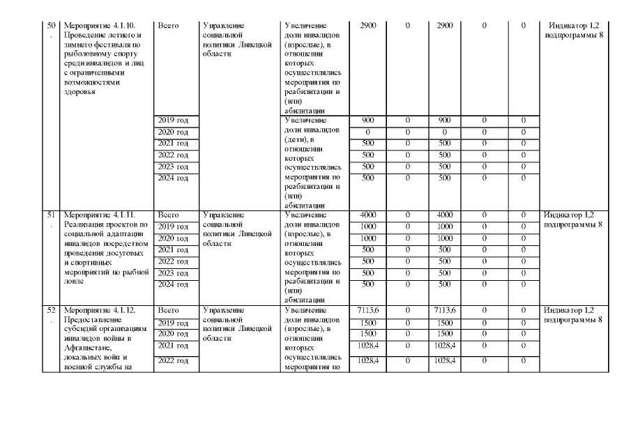
Постановление администрации Липецкой области от 04.03.2021 № 79
"О внесении изменений в постановление администрации Липецкой области от 18 декабря 2013 года № 598 "Об утверждении государственной программы Липецкой области "Социальная поддержка граждан, реализация семейно-демографической политики Липецкой области"
Номер опубликования: 4800202103090003
Дата опубликования: 09.03.2021
Страница №133 из 148:
Увеличить