Официальное опубликование правовых актов
ОФИЦИАЛЬНОЕ ОПУБЛИКОВАНИЕ
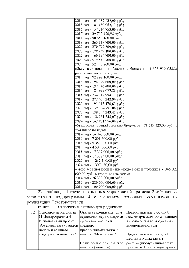
Постановление администрации Липецкой области от 25.12.2020 № 719
"О внесении изменений в постановление администрации Липецкой области от 7 ноября 2013 года № 500 "Об утверждении государственной программы Липецкой области "Модернизация и инновационное развитие экономики Липецкой области"
Номер опубликования: 4800202012290009
Дата опубликования: 29.12.2020
Страница №9 из 19:
Увеличить