Официальное опубликование правовых актов
ОФИЦИАЛЬНОЕ ОПУБЛИКОВАНИЕ
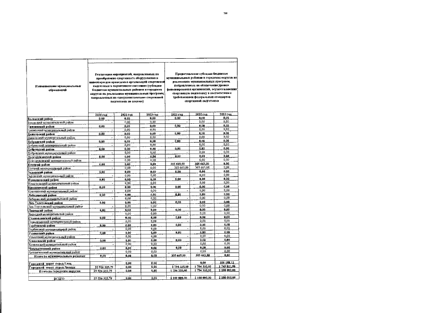
Закон Липецкой области от 18.12.2020 № 470-ОЗ
"Об областном бюджете на 2021 год и на плановый период 2022 и 2023 годов"
Номер опубликования: 4800202012210002
Дата опубликования: 21.12.2020
Страница №748 из 947:
Увеличить