Официальное опубликование правовых актов
ОФИЦИАЛЬНОЕ ОПУБЛИКОВАНИЕ
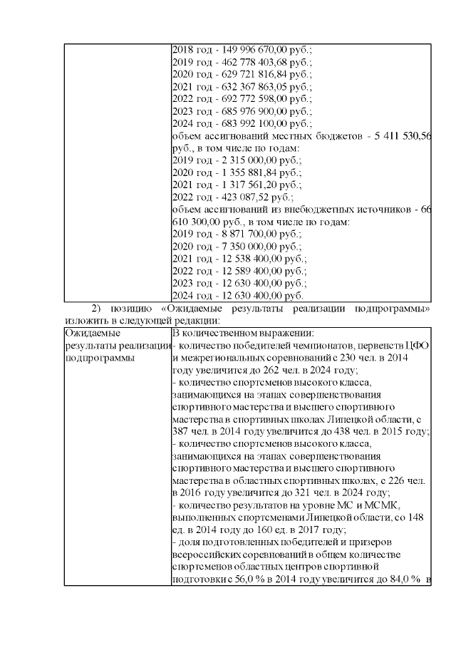
Постановление администрации Липецкой области от 07.12.2020 № 657
"О внесении изменений в постановление администрации Липецкой области от 6 сентября 2013 года № 405 "Об утверждении государственной программы Липецкой области "Развитие физической культуры и спорта Липецкой области"
Номер опубликования: 4800202012080005
Дата опубликования: 08.12.2020
Страница №18 из 28:
Увеличить