Официальное опубликование правовых актов
ОФИЦИАЛЬНОЕ ОПУБЛИКОВАНИЕ
Постановление администрации Липецкой области от 13.11.2020 № 611
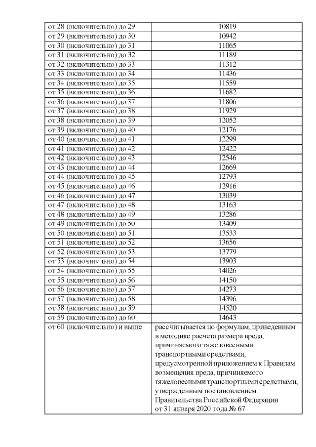
"Об определении размера вреда, причиняемого тяжеловесными транспортными средствами при движении по автомобильным дорогам регионального или межмуниципального значения Липецкой области"
Номер опубликования: 4800202011190004
Дата опубликования: 19.11.2020
Страница №9 из 9:
Увеличить