Официальное опубликование правовых актов
ОФИЦИАЛЬНОЕ ОПУБЛИКОВАНИЕ
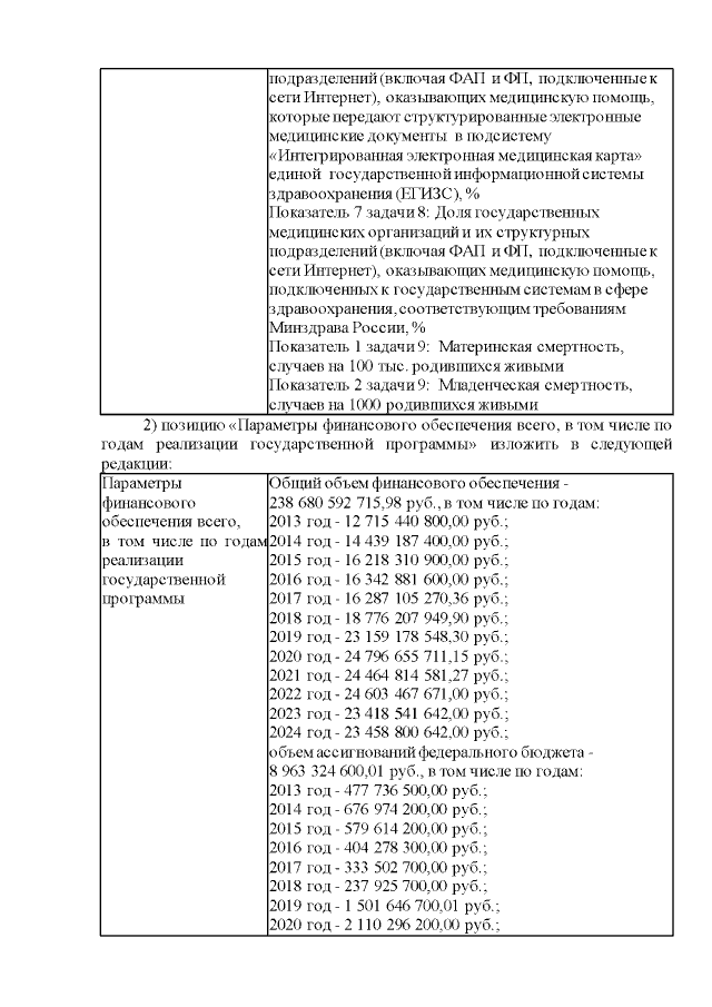
Постановление администрации Липецкой области от 16.07.2020 № 416
"О внесении изменений в постановление администрации Липецкой области от 30 апреля 2013 года № 213 "Об утверждении государственной программы "Развитие здравоохранения Липецкой области"
Номер опубликования: 4800202007170007
Дата опубликования: 17.07.2020
Страница №4 из 34:
Увеличить