Официальное опубликование правовых актов
ОФИЦИАЛЬНОЕ ОПУБЛИКОВАНИЕ
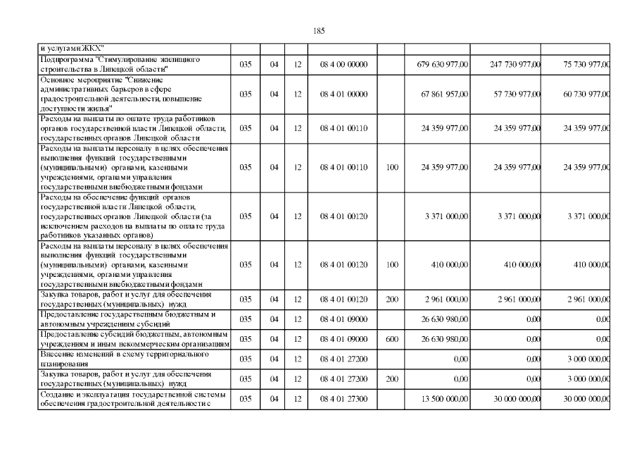
Закон Липецкой области от 30.03.2020 № 363-ОЗ
"О внесении изменений в Закон Липецкой области "Об областном бюджете на 2020 год и на плановый период 2021 и 2022 годов"
Номер опубликования: 4800202003310007
Дата опубликования: 31.03.2020
Страница №185 из 698:
Увеличить