Официальное опубликование правовых актов
ОФИЦИАЛЬНОЕ ОПУБЛИКОВАНИЕ
Постановление администрации Липецкой области от 12.03.2020 № 122
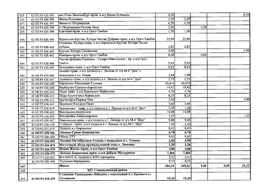
"О внесении изменения в постановление администрации Липецкой области от 23 декабря 2011 года № 456 "Об утверждении критериев отнесения автомобильных дорог общего пользования к автомобильным дорогам общего пользования регионального значения Липецкой области и Перечня автомобильных дорог общего пользования регионального значения Липецкой области"
Номер опубликования: 4800202003130001
Дата опубликования: 13.03.2020
Страница №18 из 24:
Увеличить