Официальное опубликование правовых актов
ОФИЦИАЛЬНОЕ ОПУБЛИКОВАНИЕ
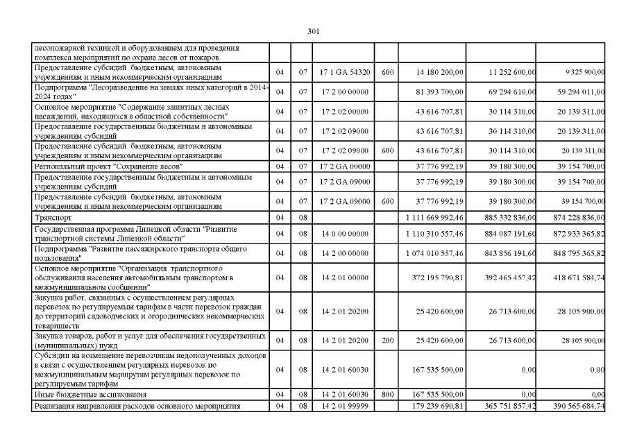
Закон Липецкой области от 04.03.2020 № 352-ОЗ
"О внесении изменений в Закон Липецкой области "Об областном бюджете на 2020 год и на плановый период 2021 и 2022 годов"
Номер опубликования: 4800202003050002
Дата опубликования: 05.03.2020
Страница №301 из 699:
Увеличить