Официальное опубликование правовых актов
ОФИЦИАЛЬНОЕ ОПУБЛИКОВАНИЕ
Постановление администрации Липецкой области от 31.01.2020 № 35
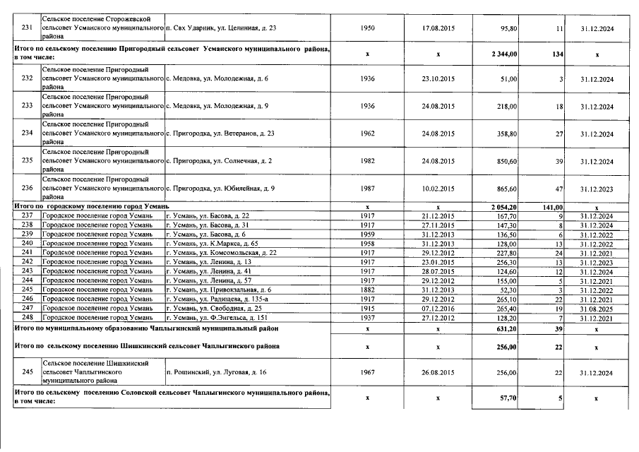
"О внесении изменений в постановление администрации Липецкой области от 25 марта 2019 года № 159 "Об утверждении областной адресной программы "Переселение граждан из аварийного жилищного фонда, расположенного на территории Липецкой области, на 2019-2025 годы"
Номер опубликования: 4800202002050001
Дата опубликования: 05.02.2020
Страница №29 из 45:
Увеличить