Официальное опубликование правовых актов
ОФИЦИАЛЬНОЕ ОПУБЛИКОВАНИЕ
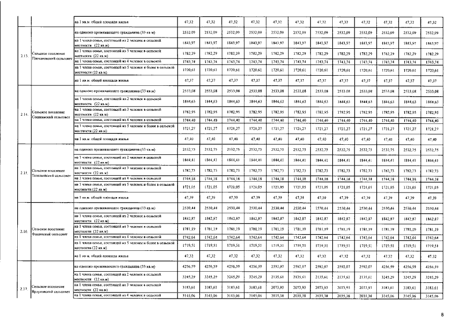
Постановление Липецкого областного Совета депутатов от 23.12.2019 № 1065-пс
"Об установлении размеров региональных стандартов стоимости жилищно-коммунальных услуг в Липецкой области на 2020 год"
Номер опубликования: 4800201912270013
Дата опубликования: 27.12.2019
Страница №9 из 174:
Увеличить