Официальное опубликование правовых актов
ОФИЦИАЛЬНОЕ ОПУБЛИКОВАНИЕ
Закон Липецкой области от 23.12.2019 № 342-ОЗ
"О внесении изменений в Закон Липецкой области "Об областном бюджете на 2019 год и на плановый период 2020 и 2021 годов"
Номер опубликования: 4800201912230004
Дата опубликования: 23.12.2019
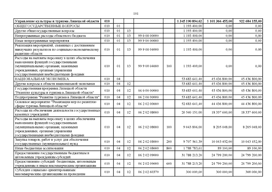
Страница №101 из 700:
Увеличить