Официальное опубликование правовых актов
ОФИЦИАЛЬНОЕ ОПУБЛИКОВАНИЕ
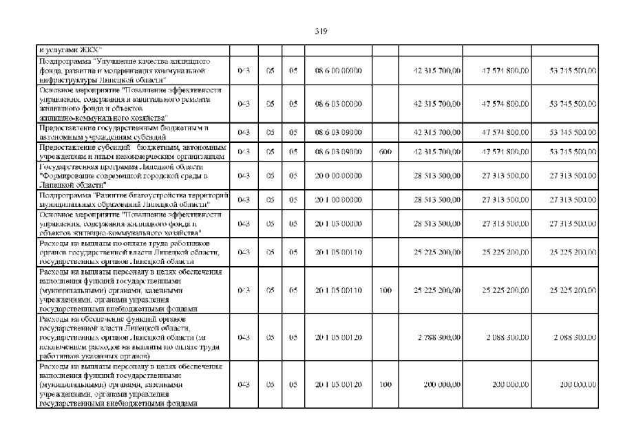
Закон Липецкой области от 17.12.2019 № 318-ОЗ
"Об областном бюджете на 2020 год и на плановый период 2021 и 2022 годов"
Номер опубликования: 4800201912190006
Дата опубликования: 19.12.2019
Страница №319 из 1112:
Увеличить