Официальное опубликование правовых актов
ОФИЦИАЛЬНОЕ ОПУБЛИКОВАНИЕ
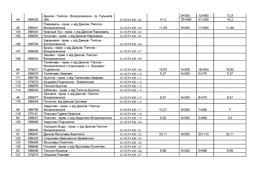
Постановление администрации Липецкой области от 24.10.2019 № 454
"О внесении изменений в постановление администрации Липецкой области от 21 ноября 2013 года № 521 "Об утверждении государственной программы Липецкой области "Развитие транспортной системы Липецкой области"
Номер опубликования: 4800201910310001
Дата опубликования: 31.10.2019
Страница №363 из 446:
Увеличить