Официальное опубликование правовых актов
ОФИЦИАЛЬНОЕ ОПУБЛИКОВАНИЕ
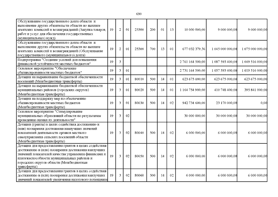
Закон Липецкой области от 14.08.2019 № 279-ОЗ
"О внесении изменений в Закон Липецкой области "Об областном бюджете на 2019 год и на плановый период 2020 и 2021 годов"
Номер опубликования: 4800201908160002
Дата опубликования: 16.08.2019
Страница №690 из 720:
Увеличить