Официальное опубликование правовых актов
ОФИЦИАЛЬНОЕ ОПУБЛИКОВАНИЕ
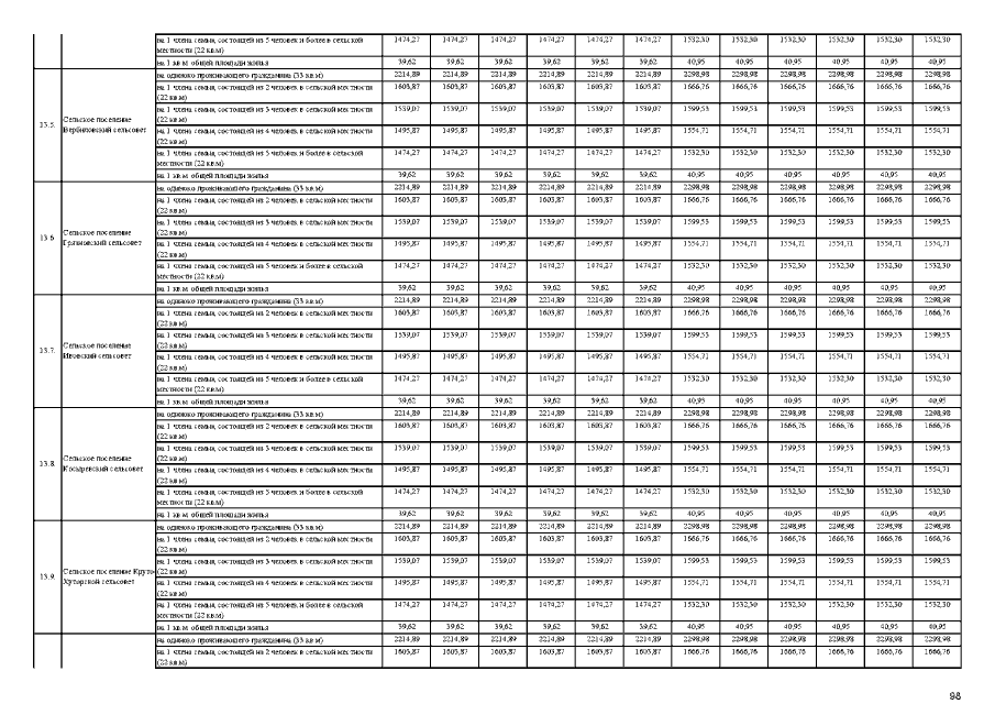
Постановление Липецкого областного Совета депутатов от 25.04.2018 № 520-пс
"Об установлении размеров региональных стандартов стоимости жилищно-коммунальных услуг в Липецкой области на 2018 год"
Номер опубликования: 4800201805030001
Дата опубликования: 03.05.2018
Страница №86 из 162:
Увеличить