Официальное опубликование правовых актов
ОФИЦИАЛЬНОЕ ОПУБЛИКОВАНИЕ
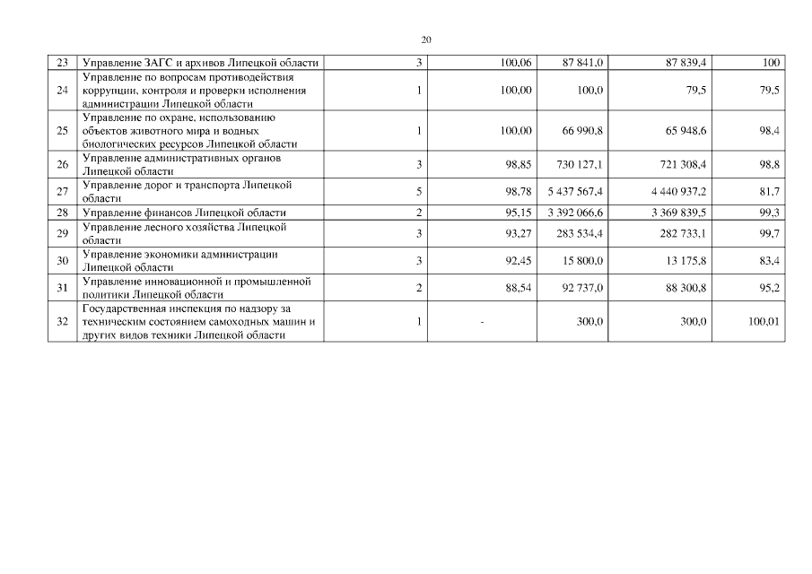
Постановление администрации Липецкой области от 24.04.2017 № 199
"Об утверждении сводного доклада "О ходе реализации и оценке эффективности реализации государственных программ Липецкой области за 2016 год"
Номер опубликования: 4800201704280001
Дата опубликования: 28.04.2017
Страница №21 из 21:
Увеличить