Официальное опубликование правовых актов
ОФИЦИАЛЬНОЕ ОПУБЛИКОВАНИЕ
Постановление администрации Липецкой области от 28.12.2016 № 538
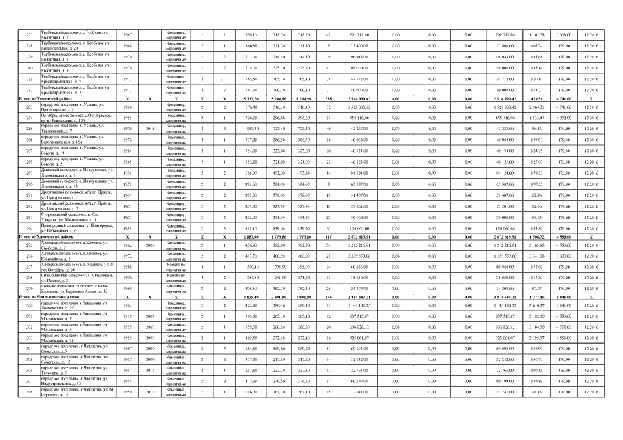
"О внесении изменений в постановление администрации Липецкой области от 30 июня 2015 года № 323 "Об утверждении краткосрочного плана реализации областной программы капитального ремонта общего имущества в многоквартирных домах на 2016 год"
Номер опубликования: 4800201612300015
Дата опубликования: 30.12.2016
Страница №11 из 19:
Увеличить