Официальное опубликование правовых актов
ОФИЦИАЛЬНОЕ ОПУБЛИКОВАНИЕ
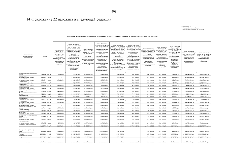
Закон Липецкой области от 22.12.2016 № 30-ОЗ
"О внесении изменений в Закон Липецкой области "Об областном бюджете на 2016 год"
Номер опубликования: 4800201612230012
Дата опубликования: 23.12.2016
Страница №408 из 414:
Увеличить